华东理工大学插班生数学历年真题
作者:小科
更新时间:2023-06-20
点击数:
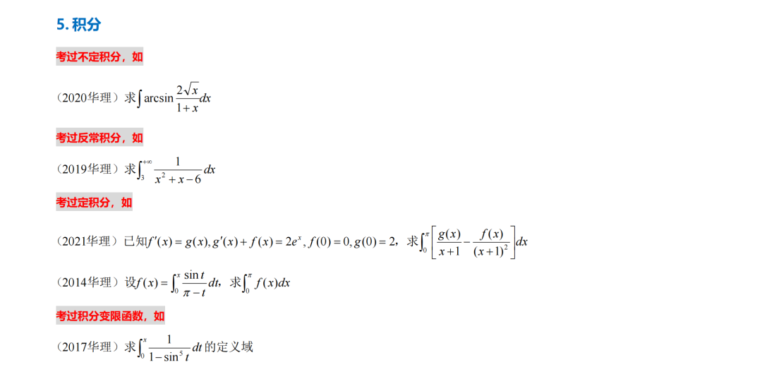
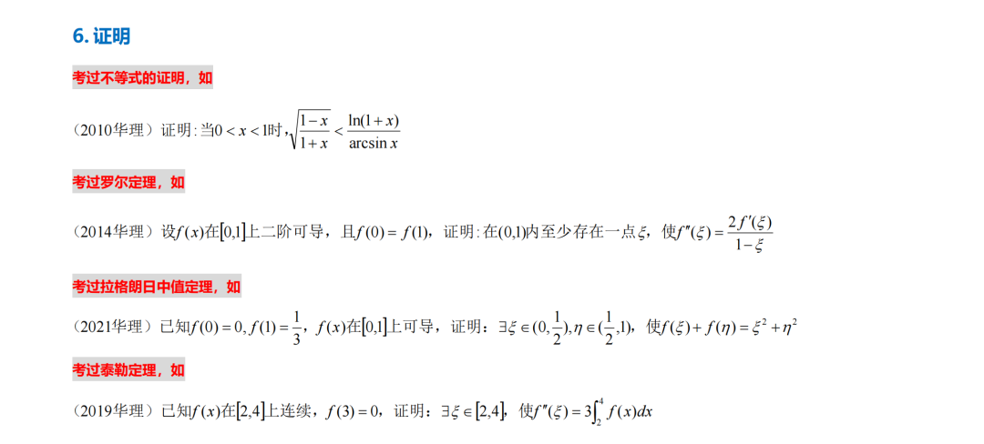
华东理工大学插班生数学真题各章节都考查,而且难度和分值安排平均,上下册的题量接近,没有很简单的题,也没有特别难的题。华理插班生数学真题总分100分,考试时间90分钟,共15题。科兴每年整理出插班生数学真题并做详尽的答案,并开放给科兴学员。
















